If you’ve ever cooked from a recipe or done a science experiment, you might have needed to convert a measurement. For instance, you could see “1/4 oz” in the instructions but only have a scale that measures in grams. Being able to switch between these units saves time and helps you get accurate results.
This guide will show you how to convert a quarter ounce to grams. We’ll explain the math, give some background on these units, and show you how to convert any amount of ounces to grams. By the end, you’ll be able to do these conversions yourself.
Ounces vs. Grams: What’s the Difference?
Before converting, it helps to know what ounces and grams are. Both measure mass, but they come from different measurement systems.
The Ounce (oz)
The ounce, written as “oz,” is a unit of weight used in the imperial and U.S. customary systems. In the United States, people use this system for everyday things like weighing food or shipping packages. When a recipe mentions “ounce,” it refers to this unit. Ounces are also related to pounds and tons.
The Gram (g)

The gram, or “g,” is a unit of mass in the metric system, officially called the International System of Units (SI). Most countries use the metric system, and it’s the standard in science and technical fields. Because it’s based on units of ten, converting within the system is easy. For example, there are 1,000 grams in a kilogram.
Since these units belong to different systems, you need a specific number to convert between them.
The Conversion Formula: From Ounces to Grams
To convert any measurement from ounces to grams, remember that 1 ounce is equal to about 28.3495 grams. (Ounces to Grams Converter, n.d.)
For most purposes, you can round this to 28.35 grams and still be accurate. (Grams to Ounces Chart, n.d.)
So, the formula is:
Grams = Ounces × 28.35
Calculating Grams in a Quarter Ounce

Now, let’s use this formula to answer the main question: how many grams are in a quarter ounce?
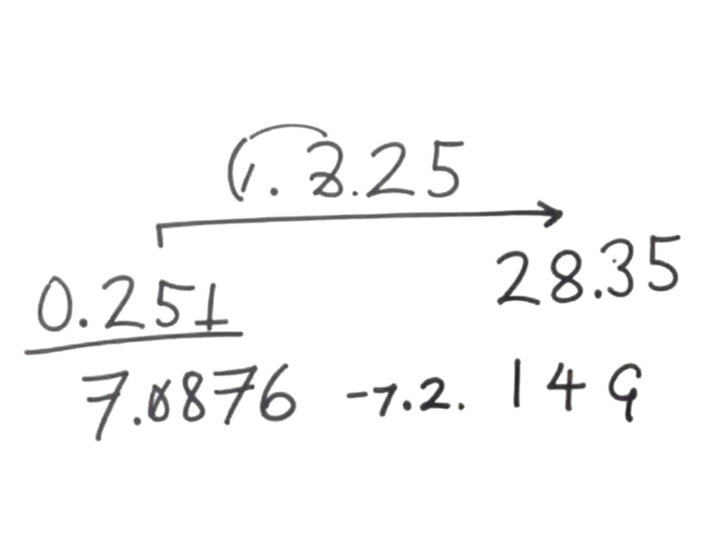
A quarter ounce can be written as a fraction (1/4) or as a decimal (0.25). Using the decimal form makes the calculation easier.
- Start with the number of ounces: 0.25 oz.
- Multiply by the conversion factor: 0.25 × 28.35
- Calculate the result: 7.0875 grams.
So, a quarter ounce equals 7.0875 grams. (How many grams is a quarter ounce, n.d.) For most purposes, you can round this to 7.1 grams.
CK-12 uses a slightly different conversion factor and gets 7.087 grams. (Weight Conversion Calculator, n.d.) Both numbers are very close, and the small difference won’t matter for most everyday situations.
A Quick Reference Conversion Chart
To make things easier, here’s a quick chart with common ounce-to-gram conversions you might see, especially when cooking.
1/2 oz= 14.2 g
1 oz =28.35 g
2 oz =56.7 g
4 oz= 113.4 g
8 oz= 226.8 g
16 oz= (1 lb) 453.6 g (Ounces to Grams Converter, n.d.)
Keeping this chart nearby can help you work faster when cooking, baking, or doing any project that needs precise measurements.
When Do These Conversions Matter?
You might be surprised at how often you need to convert ounces to grams. Here are some common situations:
- Cooking and Baking: Many recipes, especially from Europe or other countries, list ingredients in grams for more accuracy. Using a kitchen scale set to grams can help you get better results.
- Science and Education: In science classes and labs, the metric system is the standard. Students and researchers often work with grams and kilograms.
- Shipping and Postage: When sending a package overseas, you’ll likely need to list its weight in grams or kilograms.
- Hobbies: Crafts like making jewelry or soap often need precise measurements, and instructions may use both ounces and grams.
Make Your Conversions Effortless
Being able to convert ounces to grams is a useful skill that helps you work with both measurement systems. The math is simple multiplication, but having a good method ensures your measurements are accurate. Whether you do the math in your head, use a calculator, or check online, you can now switch between ounces and grams with confidence.

